英文名稱:4ARM-PEG-COOH
分子式:C13H20O12(C2H4O)N(C2H4O)N(C2H4O)N(C2H4O)N
分子量:10K,20K,40K
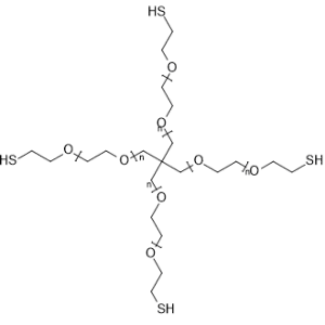
英文名稱:4-Arm-PEG-SH
分子式:C13H28O4S4(C2H4O)N(C2H4O)N(C2H4O)N(C2H4O)N
分子量:10K,20K,40K